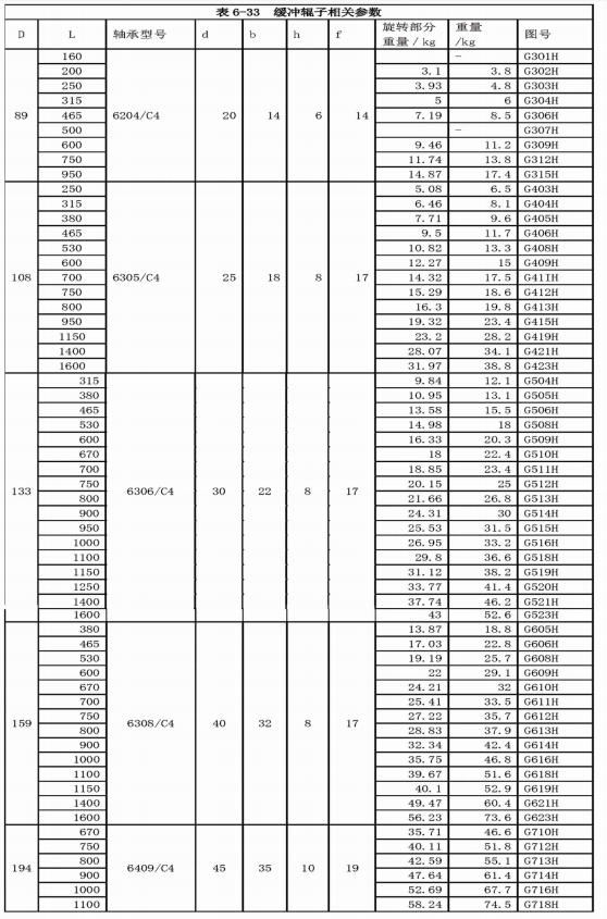
Cushion rollers are installed at the tail of conveyors to support the conveyor belt and the materials carried on it. They reduce the impact of materials on the conveyor belt. The technical parameters of cushion rollers vary depending on the width of the conveyor belt.
Note: For individual cushion roller parameters, refer to trough roller specifications.

